آموزش تعمیر موبایل مبتدی فصل ۹
تعمیر برد گوشی مستلزم این است که شما قطعات روی مدار را بخوبی تحلیل کنید. شناسایی قطعه معیوب روی گوشی وقتی براحتی انجام میشود که تعمیرکار قطعات را بخوبی بشناسد. در این جزوه آموزش تعمیر موبایل شما با آی سی ها که از مهمترین بخش یک برد هست آشنا میشوید. روش عیب یابی و عملکرد هر آی سی در زیر آورده شده است.
آشنایی با الکترونیک و قطعات برد گوشی
مدار های مجتمع یا آی سی (IC)
مدارهای الکترونیکی شامل طبقه های مختلفی هستند. اغلب این مدارها شامل طبقه های تقویت کننده، فیلترها، اگر دیجیتال باشند گیت ها، اگر مخابراتی باشند شامل مدولاسیون و دمدولاسیون و ... می باشند. گاهی اوقات اگر بخواهیم یک طبقه مثلا شمارنده دیجیتال، مانند آنچه در چراغ های راهنمایی و رانندگی می بینیم با المان های معمولی مثل دیود، ترانزیستور، مقاومت، خازن و ... بسازیم حجم بسیار زیادی می گیرد و از طرف دیگر این مدار آن قدر پر کاربرد است که در چندین دستگاه دیگر استفاده می شود. به همین علت تعداد زیادی از این مدار ها را به شکل مدار های مجتمع یا آی سی ها از پیش ساخته اند تا حجم کمتری گرفته و کار کردن با آنها راحت تر باشد. در توضیح کمتر شدن حجم مدارها به وسیله آی سی ها همین بس که تخمین زده اند که اگر CPU کامپیوتر را که یک آی سی با حجم کم است بخواهند با المان های معمولی درست کنند وسعتی به اندازه یک شهر خواهد داشت.
معایب آی سی ها
از معایب آن ها می توان انعطاف پذیری کمو محدودیت های موجود در عملکرد آن را ذکر نمود. از جمله محدودیت های عملکرد در مدار های زیر:
- مدار هایی که با جریان های زیاد کار می کنند (مثلا تثبیت کننده های با جریان بالا)
- - مدار هایی که با ولتاژ های زیاد کار می کنند (مثلا تثبیت کننده های با ولتاژ بالا)
- مدار هایی که به توان (قدرت) زیاد کار می کنند (مثلا تقویت کننده های با قدرت بالا)
- مدار هایی که با سیگنال های بسیار کوچک کار می کنند (زیرا مدار های مجتمع ذاتا نویز زیادی به همراه دارند)
انواع آی سی از لحاظ عملکرد
آی سی ها از نظر عملکرد خود بر دو نوع تقسیم می شوند
- آنالوگ (خطی یا عقربه ای)
- دیجیتال (رقمی)
انواع آی سی از لحاظ شکل ظاهری
در این مورد در بخش های قبلی توضیح داده شده است (جهت یادآوری به صفحه های 22 و 23 رجوع شود)
این تقسیم بندی و انواع آی سی در شکل زیر مشخص شده است.

اثر تداخل الکترومغناطیسی (EMI)
یکی از عوامل ایجاد پارازیت در سیستم های مخابراتی و دیجیتالی، تداخل الکترومغناطیسی یا EMI می باشد. هرگاه ازدو هادی که در مجاورت یکدیگر قرار گرفته اند جریان عبور کند، پدیده القای متقابل صورت گرفته و هر کدام بردیگری نیرو وارد می کنند. تداخل EMI ناشی ازاین خاصیت ذاتی هادی ها می باشد. هر چه فاصله نوار های مسی نزدیک تر باشند (مانند برد موبایل) نیروی القایی بیشتر می باشد. شدت اثر تداخل در فرکانس های پایین قابل چشم پوشی می باشد، اما نمی توان از اثرات آن در فرکانس های بالا به راحتی گذشت.
قرار دادن خط منفی (GND) در کنار هر سیگنال، تا حدود زیادی آن سیگنال را در برابر EMI حفاظت می کند. تداخل EMI منجر به ایجاد جریان های گذرا و از دست رفتن یا مورد تاثیر قرار گرفتن اطلاعات مورد پردازش در مدار می شود و در نتیجه اطلاعات صحت خود را از دست می دهند. برای مقابله با این پدیده در برد ها از فیلتر های حذف EMI استفاده می کنند.
غالب این فیلتر ها یه شکل IC بر روی برد دیده می شوند.
اثر تخلیه الکترواستاتیک (ESD)
یک FET یا یک آی سی شامل FET روی میز است. آن را برداشته و در جای خود روی برد قرار می دهید. گجت را روشن کرده ولی مشاهده می کنید که به درستی کار نمی کند. شما ترانزیستور یا آی سی را از بین برده اید. قبل از برداشتن ترانزیستور یا آی سی باید دستتان را به یک هادی یا فلز می زدیدتا بار الکترواستاتیک بدنتان که در زمستان به هزاران ولت می رسد تخلیه شود. یک جرقه پر انرژی می تواند به تمام عناصر نیمه هادی آسیب برساند. ولی عناصر مبتنی بر FET بیشتر در معرض آسیب
هستند.
تخلیه الکترواستاتیک در الکترونیک یک مساله جدی است. خصوصا برای قطعات ریز و فرشده و گران قیمت روی برد. ترانزیستور ها و آی سی های حساس را باید در پاکت ها یا ابر های غیر هادی جا به جا کرد. بهتر است سر هویه، میز کار و بقیه ابزار ها را با سیم به زمین وصل کرد و یا ترجیجا از ابزار آنتی استاتیک استفاده کرد. در داخل قطعات امروزی شبکه ای از مقاومت و دیود زنر قرار می دهند که این احتمال آسیب دیدن را بسیار کم می کند.
در برد ها از قطعاتی مانند دیود معمولی، دیود زنر، VDR و فیلتر های ESD که اغلب به شکل مدار مجتمع IC ساخته می شوند جهت حفاظت از قطعات حساس در مقابل ESD مورد استفاده قرار می گیرند.
- در برد ها از قطعاتی مانند دیود معمولی، دیود زنر، VDR و فیلتر های ESD که اغلب به شکل مدار مجتمع IC ساخته می شوند جهت حفاظت از قطعات حساس در مقابل ESD مورد استفاده قرار می گیرند.
- فیلتر EMI با ESD تفاوتی ندارند. در مدار داخلی یکی از مقاومت و در دیگری از دیود استفاده شده است که برای محافظت از مدار استفاده میشود.

آی سی در شماتیک
IC های روی شماتیک موبایل با حرف N یا D نمایش داده می شوند.
دو عدد اول تمام قطعاتی که با یک آی سی درگیر هستند، همان دو عدد اولی است که شماره آی سی با آن شروع می شود.

نحوه شماره گذاری پایه های آی سی
آی سی های BGA که از زیر پایه دارند و امروزه کاربرد بیشتری نسبت به دیگر آی سی های SMD دارند. نحوه شماره گذاری پایه ها هم به صورت ماتریسی مثل شکل زیر است. از جمله آی سی های BGA در گوشی های موبایل می توان به آی سی های شارژ و تغذیه در گوشی ها اشاره کرد.

- گفتنی است که در نام گذاری ستون های آی سی های BGA حروف Z ,Y ,S ,Q ,O ,I استفاده نمی شوند.
بعد از حروف Y از حروف AC ,AB ,AA و ... استفاده می شود.
- آی سی های Micro BGA از نظر شکل و شماره گذاری پایه ها شبیه به BGA اما تعداد پایه های آن خیلی بیشتر بوده و به هم نزدیکتر است. مثل آی سی های Flash ,CPU و ... .
- آی سی ها نیز مانند دیگر قطعات نیمه هادی دارای شماره فنی هستند که توسط کمپانی سازنده مشخص می شود و تنها راه استفاده آن ها به جای یکدیگر شماره فنی مشابه است. مثلا NE555 اما بعضی از آی سی ها علاوه بر شماره فنی دارای اسم نیز هستند. مثلا آی سی تغذیه سری BB5 نوکیا با نام " RETU" یا آی سی شارژ نوکیا با اسم TAHVO.
کریستال ساعت
کریستال ساعت را در شماتیک موبایل با حرف B نمایش می دهند و شمای آن به شکل زیر است. فرکانس کاری این کریستال 32.768 KHZ می باشد.

نقاط تست (جامپر)
نقاط تست را با حرف J و به شکل زیر نمایش می دهند.

سوکت
حرف X در شماتیک موبایل نشان دهنده ی سوکت های مختلف می باشد.
قطعات اتصالی (میکروفون، اسپیکر، بازر و ...)
قطعات اتصالی مانند میکروفون، اسپیکر و بازر را با حرف B نشان می دهند.

باطری
باطری منبعی از انرژی پتانسیل الکتریکی است که در درون آن با انجام واکنشهای شیمیایی، انرژی شیمیایی به انرژی الکتریکی تبدیل میشود. این انرژی در قطبهای باطری قابل دریافت است. قطب مثبت باطری آند و قطب منفی آن کاتد نام دارد. در فرهنگ عامیانه به قطب ها، سر مثبت و سر منفی نیز گفته می شود.
در باطری ها ممکن است سلول ها برای افزایش جریان با هم موازی شده یا برای افزایش ولتاژ با هم سری شوند.
بطور کلی باطری ها به دو دسته قابل شارژ و غیر قابل شارژ تقسیم بندی می شوند. باطری های غیر قابل شارژ، قادر به شارژ الکتریکی نبوده و یک بار استفاده و دشارژ می شوند. باطری های غیر قابل شارژ، سلول های خشک (باطری خشک) نیز نامیده می شوند. اما باطری های قابل شارژ پس از دشارژ شدن، با عبور جریان در جهت مخالف جریان دشارژ، به صورت الکتریکی قابل شارژ می باشند و با نام باطری های ذخیره یا باطری شارژی نیز شناخته می شوند. عمر این نوع از باطری ها بیشتر از 5سال است و بار ها می توان آن ها را شارژ و دشارژ کرد.
مزایای باطری
از مزایای باطری ها می توان به قابل حمل کردن سیستم حتی در مناطق بدون برق، جریان DC و ولتاژ بسیار صاف تر و رگوله تر، بدون پارازیت و یا قطعی اشاره کرد.
معایب باطری
از معایب باطری ها نیز می توان به قیمت بالا، عمر موقت، انفجار (عموما ناشی از عدم کاربرد یا کارکرد صحیح)، نشتی باطری و نیازمند به یک مدار اضافی به نام مدار شارژ را نام برد.
مفهموم آمپر بر ساعت
از مشخصات باطری علاوه بر ولتاژ نامی آن، یک مقدار آمپر بر ساعت ( A/H) نیز روی باطری درج شده است. این عدد میزان شارژدهی باطری را در طول زمان مشخص می کند. به بیانی اگر عدد آمپر بر جریان باطری را بر مقدار یک جریان ثابت مصرفی تقسیم کنیم، مقدار زمانی که باطری به تخلیه کامل می رسد مشخص می شود.
به عنوان مثال ببینیم یک باطری (A/H) 60 – 12 (V) در جریان های ریز چه مقدار دوام دارد.

6-26- مدارهای سری و موازی
اجزاء مدار الکتریکی میتواند به طرق مختلفی به هم متصل شوند. ساده ترین آنها اتصالات سری و موازی هستند.
مدار سری
در اتصال سری قطعات پشت سر هم و در یک خط قرار داده میشوند بگونه ای که جریان عبوری از همه اجزای سازنده یکسان خواهد بود. مداری که همه ی اجزای آن اتصال سری داشته باشند، مدار سری نامیده می شود. در مدار سری جریان همه ی اجزا یکسان است و مجموع ولتاژهای روی هر جزء با ولتاژ اعمال شده بر کل مدار برابر است. در مدارهای سری جریان یکسانی از همه ی اجزای مدار میگذرد و تنها یک مسیر برای شارش جریان وجود دارد. در صورتی بازشدن یا شکستن مدار در هر نقطه، کل مدار باز میشود و از کار میافتد. لذا در مدار سری جریان همه ی اجزای مدار برابر است.
𝐼𝑡 = 𝐼1 = 𝐼2 = 𝐼3 = … = 𝐼𝑛
𝑉𝑡 = 𝑉1 + 𝑉2 + 𝑉3 + … + 𝑉𝑛
خازن در مدار سری
ظرفیت کل برای چند خازن سریشده، برابر معکوس مجموع وارون ضربی ظرفیت هریک از آنهاست.


مقاومت در مدار سری
مقاومت معادل تعدادی مقاومت در مدار سری، برابر مجموع مقاومت های آن ها خواهد بود.

𝑅𝑡 = 𝑅1 + 𝑅2 + 𝑅3 + … + 𝑅𝑛
باطری در مدار سری
برای افزایش ولتاژ، باطری ها را سری می بندیم. زیرا در این حالت جریان دهی باطری ها برابر بوده، ولی ولتاژ باطری ها با یکدیگر جمع می شوند.
چون در حالت سری جریان ها یکسان است، اگر یکی از باطری ها قابلیت جریان دهی نداشته باشد (دشارژ باشد)، جریان دهی سایر باطری ها را نیز تحت تاثیر قرار خواهد داد.
مدار موازی
در اتصال موازی ولتاژ اعمال شده به همه اجزای سازنده یکسان خواهد بود. مداری که همه ی اجزای آن با هم موازی باشند، مدار موازی خوانده میشود. در مدار موازی ولتاژ دو سر همه ی اجزاء یکسان است و جریان کل مدار برابر مجموع جریان هر یک از اجزای مدار خواهد بود.
در مدارهای موازی اجزای موازی شده دارای ولتاژ یکسانی در دو سر خود هستند و جریان کل برابر مجموع جریان های هر یک از اجزا است.
𝑉𝑡 = 𝑉1 = 𝑉2 = 𝑉3 = … = 𝑉𝑛
𝐼𝑡 = 𝐼1 + 𝐼2 + 𝐼3 + … + 𝐼𝑛
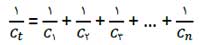
خازن در مدار موازی
ظرفیت کل برای چند خازن در مدار موازی، برابر مجموع ظرفیت های هر یک از آن ها خواهد بود.

𝐶𝑡 = 𝐶1 + 𝐶2 + 𝐶3 + … + 𝐶𝑛
مقاومت در مدار موازی
مقاومت معادل تعدادی مقاومت در مدار موازی، برابر معکوس حاصلجمع وارون ضربی مقاومت ها خواهد بود. در این حالت مقاومت معادل همیشه از کوچکترین مقاومت داخل مدار کمتر است.


باطری در مدار موازی
برای افزایش جریان دهی، باطری ها را موازی می بندیم. زیرا در این حالت ولتاژ ها برابر بوده، ولی جریان دهی باطری ها با یکدیگر جمع میشوند.
اگر ولتاژ باطری ها یکسان یا نزدیک به هم نباشد، نباید آن ها را به حالت موازی بست زیرا که ولتاژ خروجی قابل محاسبه نیست. همچنین اگر یک باطری ضعیف با یک باطری قوی موازی بسته شود، باطری ضعیف تر مانند یک مصرف کننده عمل کرده و شروع به شارژ شدن می کند.
7-26- جریان مستقیم و متناوب
جریان مستقیم
جریان مستقیم جریانی است که دامنه و جهت آن نسبت به زمان ثابت است. به زبان ساده تر اینکه مقدار جریان عبوری از مدار و جهت حرکت الکترون ها ثابت بوده و با گذشت زمان هیچ تغییری نمی کند.

جریان متناوب
جریان متناوب جریانی است که مقدار و جهت آن نسبت به زمان دائماً در حال تغییر است. به زبان ساده تر اینکه مقدار جریان دائما کم و زیاد میشود و جهت حرکت الکترون ها هم عوض می شود. (از ماکزیمم به صفر و از صفر به مینیمم میرسد)
در جریان متناوب عناصر مدار ثابت هستند ولی ولتاژ منبع تغذیه دائما در حال تغییر (متناوب) است. به همین دلیل در مقدار جریان تاثیر میگذارد.
دوره تناوب (پریود)
مدت زمانی که طول می کشد تا یک سیکل کامل به وجود آید زمان تناوب یا پریود گویند. به عبارتی زمانی است که برای طی شدن یک سیکل کامل نیاز است. آن را با حرف T نمایش می دهند و واحدش ثانیه است.

فرکانس
عبارت است از تعداد سیکل هایی که در یک ثانیه پیموده می شود و یا به عبارتی آن را با حرف ƒ و واحدش Hz است.

طول موج
به مسافتی که یک موج در یک سیکل کامل طی می کند طول موج می گویند. طول موج به سرعت انتشار موج و تغییرات فرکانس بستگی دارد. آن را با λ و فرمول آن بصورت زیر است:

از آنجا که موج منتشر شده از آنتن دستگاه های الکترونیکی از نوع امواج الکترومغناطیسی است و سرعت آن ها برابر با سرعت نور است، پس می شود:

هرچه فرکانس یک موج بزرگتر باشد، دوره تناوب کمتر و در نتیجه طول موج کوچکتر می شود.
برخی دیگر از مشخصات موج سینوسی
ولتاژ پیک (𝑉𝑃)
به فاصله محور افقی زمان تا بالاترین نقطۀ نیم سیکل مثبت و یا پایین ترین نقطۀ نیم سیکل منفی، ولتاژ پیک (قله) گفته می شود. به عبارتی ماکزیمم ولتاژی است که سیگنال دارد. یک سیکل کامل دارای یک پیک مثبت و یک پیک منفی است.
طول موج تا پیک (𝑉𝑃−𝑃)
به فاصله بالا ترین نقطه موج در نیم سیکل مثبت تا پایین ترین نقطه موج در نیم سیکل منفی، مقدار پیک تا پیک می گویند. به عبارتی دو برابر مقدار پیک ولتاژ می باشد.

مقدار متوسط موج سینوسی یا ولتاژ متوسط 𝑉𝐴
میانگین مقادیر لحظه ای آن موج در یک دوره ی تناوب است. برای به دست آوردن این مقدار، از رابطه زیر استفاده می شود:
𝑉𝐴 = 0 /637 × 𝑉𝑃
مقدار موثر سیگنال سینوسی یا ولتاژ موثر (RMS)
در ولتاژ متناوب ولتاژ از صفر شروع و به پیک مثبت می رسد، دوباره به صفر رسیده و سپس به پیک منفی می رسد. لذا در بیشتر اوقات، ولتاژ از مقدار پیک ولتاژ کمتر است. به همین علت از یک مقدار موثر استفاده می شود که همان RMS است.
مقدار ولتاژ RMS برابر است با 0.7 ولتاژ پیک می باشد.
𝑉𝑟𝑚𝑠 = 1/111 × 𝑉𝑃
ارزش RMS یک ارزش موثر ولتاژ یا جریان متناوب می باشد. بدین معنی که این ولتاژ تاثیر اصلیش در مدار، معادل این مقدار است. به عنوان مثال یک لامپ که به ولتاژ 6 ولت RMS متصل شده، همان مقدارروشنایی دارد که اگر به یک ولتاژ 6ولت مستقیم متصل می شد.
بحث ولتاژ مؤثر این فکر را به وجود می آورد که مقدار RMS نوع دیگری از میانگین است. ولی بخاطر داشته باشید که این مقدار قطعاً میانگین نیست. در واقع مقدار میانگین ولتاژ یا جریان متناوب، صفر خواهد بود. چون بخش های مثبت و منفی سیگنال را هم خنثی می کنند و وقتی میانگین می گیریم، میانگین برابر با صفر خواهد بود. بنابراین ولتاژ RMS قطعاً یک ولتاژ میانگین نیست.

دو تعریف اول شامل ولتاژ پیک و ولتاژ پیک تا پیک برای تمامی اشکال موج اعم از سینوسی، مثلثی، مربعی و... به کار می روند. ولی رابطه فوق مربوط به ولتاژ موثر فقط برای سیگنال با شکل سینوسی کاربرد دارد.
توان
به میزان کار انجام شده در واحد زمان، اطلاق می شود. با جایگزین کردن جریان و ولتاژ در این رابطه، به فرمول زیر می رسیم:
(P = V × I (W
واحد توان ژول بر ثانیه j/s یا به عبارتی وات (W) می باشد. در رابطه بالا مقدار جریان و ولتاژ باید مقدار جریان و ولتاژ موثر باشد.
به عنوان مثال، برای یک شارژر نوکیا این مشخصات را داریم:
Input: 221 Vac – 51 ~ 06 Hz – 26,4 W
Output: 5,3 Vdc – 2,65 W
حداکثر جریانی را که می توان از شارژر دریافت کرد محاسبه کنید. تحت این جریان، شارژر چه مقدار از برق شهر مصرف می کند؟
حال اگر 𝐼1 جریان ورودی برق شهر و 𝐼2 جریان خروجی شارژر باشد، داریم:

علائم روی شماتیک
- مربع یا مستطیل های زرد رنگ نشان دهنده ی وجود ولتاژ در آن قسمت می باشد.
- مشخصات قسمت های مختلف در مربع های آبی رنگ نشان داده می شوند.
- اشکال زیر نشان دهنده ادامه مسیر در صفحات دیگر شماتیک می باشد که در شکل اول مسیر یکطرفه و در شکل دوم مسیر دو طرفه را نمایش می دهند.

27- پیدا کردن پایه منفی قطعات
برای اینکار از مولتی متر روی رنج BUZZER استفاده می کنیم. یکی از پراپ های مولتی متر را روی قسمت منفی (شیلد) قرار داده و پراپ دیگر را در بین پایه قطعات حرکت می دهیم. در صورت شنیدن صدای بوق پایه ای که تست کرده ایم پایه منفی خواهد بود. البته در دوره آموزش الکترونیک که پیش نیاز دوره های موبایل و تبلت میباشد کلیه این قطعات مانند دیود بطور کاملا عملی برای کارآموزان تشریح میشود.
نکته: در هنگام نصب دیود روی برد باید به پایه های مثبت و منفی دقت نمائیم. پایه ای که روی برد جایش بزرگ تر است منفی می باشد.
28- ولتاژگیری روی برد
برای اندازه گیری ولتاژ در قسمت هایی که از نقشه اشاره شده، می توان از مولتی متر روی رنج 20V DC استفاده کرد.
در قطعاتی که به صورت موازی روی برد قرار گرفته اند نیاز است ابتدا پایه منفی قطعه شناسایی شود. سپس با استفاده از مولتی متر نسبت به زمین مدار (GND) ولتاژ نقطه را اندازه گیری کنیم (روی پایه مثبت قطعه)
در قطعاتی که به صورت سری روی مدار قرار گرفته اند پایه منفی وجود ندارد و برای اندازه گیری ولتاژ از هر دو طرف قطعه استفاده می کنیم در هر صورت یک سر به GND
قطعاتی که برق خود را با یک واسطه از باطری می گیرند گوشی حتما باید روشن باشد تا بتوان ولتاژ آن ها را اندازه گیری کرد، ولی قطعاتی که ولتاژ را مستقیم از باطری می گیرند نیاز به روشن بودن گوشی برای اندازه گیری ولتاژ نیست. ولتاژگیری دیود روی مدار نیز در آموزش تعمیر گوشی بصورت کاربردی در کلاس کامتک زیر نظر تعمیرکار موبایل تشریح میشود.